The Forward Model for Snow Phase Signature simulates the observed phase change due to snow changes between the InSAR pairs using the model proposed by Guneriussen et al 2001. The model is based on the increase in the optical path and travel time in presence of snow, as snow has a higher permittivity than air. The model requires the following inputs: sensor location, sensor central frequency, DEM and, alternatively, Snow Depth change and Snow Density or Snow Water Equivalent (SWE) change. This module produces a map with the simulated interferometric phase. Furthermore, an analysis of the phase sensitivity is presented.
The figure below depicts a representation of the model for phase change from snow change [1,2]. The line

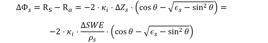
The phase signature is calculated as [1]:

TBD
InSAR: Interferometric Synthetic Aperture Radar
SWE: Snow Water Equivalent.
[1]. T. Guneriussen, K. A. Hogda, H. Johnsen, and I. Lauknes, “InSAR for estimation of changes in snow water equivalent of dry snow,” in Proc. IEEE Int. Geosci. Remote Sens. Symp. Taking Pulse Planet, Role Remote Sens. Manag. Environ. (IGARSS), vol. 2, Oct. 2000, pp. 463–466.
[2]. Leinss, Silvan & Wiesmann, Andreas & Lemmetyinen, Juha & Hajnsek, I.. (2015). Snow Water Equivalent of Dry Snow Measured by Differential Interferometry. IEEE Journal of Selected Topics in Applied Earth Observations and Remote Sensing. 8. 1-18. 10.1109/JSTARS.2015.2432031.